分享:基于超声导波技术的U型钢筋锈蚀监测
钢筋混凝土材料因具有力学性能优异、可塑性强、防火性高等特点,被广泛应用于建筑行业。随着服役时间的增加,钢筋混凝土结构的耐久性会逐渐变差,可能引发安全事故。
由于混凝土结构内钢筋锈蚀前期无明显表征现象,当出现锈蚀迹象时结构可能已经受到损坏,此时维护的费用较高,甚至承载力下降而带来安全隐患。因此,对钢筋锈蚀过程进行监测以及早期损伤识别是很有必要的。
目前,对钢筋混凝土结构内部钢筋锈蚀识别的方法,主要分为物理监测法、电化学监测法以及无损检测技术。DRAVNIEKS等[1]提出了电阻探针监测技术。JOHN等[2]提出利用交流阻抗谱法对混凝土结构内部损伤进行监测。钟志恒等[3]深入研究线性极化法,对混凝土中钢筋的腐蚀机理与腐蚀速率控制进行了阐述。但其提出的方法在实用性上具有一定的局限性,通常作为人工短暂定期监测方法使用。
相对来说,最近兴起的超声导波检测技术较为全面。李幸钰等[4]通过对不同缺陷深度的钢筋进行超声导波监测试验和数值模拟,利用小波分析对试验数据进行处理分析,试验结果和数值模拟得到的结论基本一致,表明利用小波包能量分析能够对钢筋混凝土锈蚀损伤进行识别。
SHARMA等[5-6]利用带痕损伤钢筋混凝土梁进行超声导波监测试验,发现L(0,1)模态导波的传播集中分布于钢筋表面,且会在带痕损伤区域发生散射、反射,对钢筋损伤变化反应敏感,同时发现低频模态导波在自钢筋表面向混凝土区域传播的过程中位移减小,能量损失增大,验证了使用导波进行混凝土内钢筋表面损伤监测的可行性。
FARHIDZADEH等[7-9]基于多尺寸圆柱体内导波声速差异性,设计多组小尺寸不同直径钢筋锈蚀超声检测试验,试验发现锈蚀初期点锈蚀较少,声速变化较小,中期至后期锈蚀点数量、范围增大致使导波发生散射,声速变化较大,验证了基于导波声速变化的钢筋锈蚀检测的可行性。相比传统方法,基于超声导波技术的监测方法更具有实用性,适用于钢筋混凝土这种复杂结构的内部监测,且准确性高、整体成本较低。
利用超声导波技术对混凝土进行检测时存在以下问题:①信号处理复杂,使用小波变换等技术需要大算力支持,增加了系统实现难度;②传感器信号易受到干扰,监测时会产生许多干扰信号;③导波穿透复合材料时,信号会发生衰减。
文章利用超声导波技术,采用压电材料设计了一个适用于U型钢筋锈蚀监测的传感系统,可以对信号干扰进行滤波处理,并能够消除环境干扰。最后搭建了钢筋混凝土试块加速锈蚀监测系统,实现了对钢筋混凝土试块锈蚀的全过程实时监测。
1. 超声导波在钢筋中的频散特性
超声导波在介质中的传播会受到其几何尺寸和材料特性的影响,例如在钢筋中的传播与钢筋的直径和物理特性有关。因此超声导波在钢筋中的传播速度会随着激励频率的改变而发生变化,这就是导波在钢筋中传播的频散现象,其强弱跟激励频率以及激发的模态有关[10]。
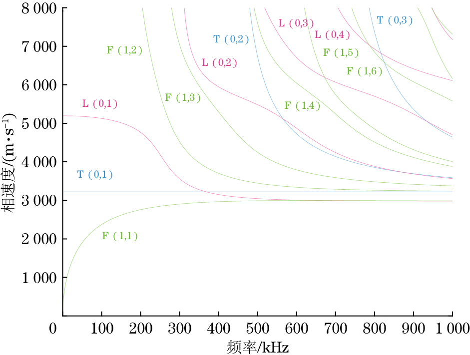
导波在钢筋中传播的频散曲线与钢筋的直径以及密度、弹性模量等物理参数有关。利用MATLAB软件[11]绘制出导波在直径12 mm钢筋中传播的频散曲线,群速度频散曲线和相速度频散曲线分别如图1,2所示,其可以反映出导波模态、频率以及群速度和相速度之间的关系[12]。绘制频散曲线所用到的钢筋物理参数如表1所示。
| 密度/(kg · m−3) | 弹性模量/GPa | 泊松比 |
|---|---|---|
| 7 800 | 210 | 0.30 |
图1和图2中显示了L模态、T模态、F模态波群速度与相速度在频率1 000 kHz以下的变化特性,可以看出导波模态数量随频率增大而增加,在0~200 kHz内模态数量最少,1 000 kHz左右数量最多。在200 kHz以上任一频率时至少存在3种以上的导波模态,并随着频率增加导波多模态现象加剧,各模态声速变化剧烈,频散严重。而200 kHz以下导波群速度波动较慢,频散较为轻微,故初步确定监测频率为200 kHz以下。
2. U型钢筋传感器结构设计
文章研究的超声换能器需要埋入混凝土结构中,其结构包括背衬层、压电元件和匹配层3部分,检测对象为直径为10 mm、厚度为5 mm的圆柱形混凝土。针对防水、界面和强度、尺寸等问题设计换能器,换能器结构设计图如图3所示。
制作的超声换能器用于信号发射和信号接收,选用PZT-4压电陶瓷制作发射型超声换能器,PZT-5压电陶瓷制作接收型超声换能器。
匹配层的主要作用是保护压电元件,并使压电元件和钢筋表面良好耦合,因此匹配层材料采用水泥和环氧树脂的混合物。
背衬层除了起到保护压电元件和防水防锈等作用外,还要具备吸收声波的功能。背衬层材料的声阻抗与压电元件的接近时,可以增大传感器的分辨率。理论上背衬层的厚度越大吸波效果越好,但是过厚会降低传感器的灵敏度和分辨率。背衬层主要材料为水泥和环氧树脂的混合物。
3. U型钢筋电化学加速锈蚀导波监测试验
混凝土中的钢筋锈蚀是一个电化学反应过程。混凝土中含有Ca(OH)2、KOH、NaOH等氢氧化物,总体呈碱性,钢筋表面会发生钝化反应形成Fe2O3薄膜,对钢筋起到保护作用。由于骨料、拌合水、氯化钙外加剂等可能含有氯离子,而氯离子的入侵会破坏Fe2O3薄膜,从而使得钢筋表面形成一个活性电极,发生电化学反应,混凝土中钢筋发生锈蚀。
3.1 裸钢筋锈蚀试验
由于试验采集到的数据会存在不同频率的干扰声波,为了提高数据信号的有效性,需要通过滤波来消除一定的干扰声波。文章采用ORIGIN软件中FFT(快速傅立叶变换)的带通滤波方法,过滤掉低于激励频率20 kHz和高于激励频率20 kHz的信号,仅保留激励频率±20 kHz范围内的信号。
滤波处理前后的信号分别如图4,5所示。根据信噪比公式得出处理前信噪比为9.54 dB,处理之后信噪比为23.52 dB,经过处理之后的信噪比明显得到了提升,并符合基本要求。文章后续分析的数据均为带通滤波处理后的信号。
处理完信号后,进行裸钢筋锈蚀监测试验,对直径为12 mm、长度为35 cm的U型钢筋进行电化学加速腐蚀,试验装置实物如图6所示。将钢筋固定在泡沫圈中,泡沫圈放置在水槽中,使U型钢筋下端部能够完全浸泡在质量百分比浓度为5%的NaCl溶液里,然后固定泡沫圈。钢筋左端铜线与直流电源的正极连接,溶液中的铜线与负极连接,通过氯化钠溶液连通电路。
钢筋锈蚀试验过程中,控制恒定电流为0.5 A,电压约为15 V。根据计算,钢筋锈蚀部分的质量为132 g,结合公式计算出钢筋理论锈蚀率与通电时间的关系(见表2)。
| 理论锈蚀率/% | 恒定电流/A | 通电时间/h | 锈蚀量/g |
|---|---|---|---|
| 2 | 0.5 | 5 | 2.6 |
| 5 | 0.5 | 12.6 | 6.6 |
| 10 | 0.5 | 25.2 | 13.2 |
| 20 | 0.5 | 50.4 | 26.4 |
| 30 | 0.5 | 75.6 | 39.6 |
| 40 | 0.5 | 100.8 | 52.8 |
| 50 | 0.5 | 126 | 66 |
将100 kHz和120 kHz激励频率下,加速锈蚀试验过程中所采集到的整时刻信号幅值汇总,可以发现整个锈蚀过程中幅值的变化都是先减小后增大。根据相关定律,裸钢筋锈蚀试验过程中通电电流恒定时,能够通过通电时间对钢筋的理论锈蚀率进行估算。由于数据值本身较小,且两种信号幅值相差大,故将数据归一化进行绘图,裸钢筋接收信号幅值与理论锈蚀率的关系曲线如图7所示。
如图7所示,100 kHz频率下,接收信号幅值从锈蚀开始到理论锈蚀率约达到30%时处于下降状态;随后开始上升,当理论锈蚀率达到50%时,接收信号幅值上升到与刚开始时的持平。120 kHz频率下,接收信号幅值从锈蚀开始一直下降直到理论锈蚀率约达到35%后,再开始上升。
根据图7和锈蚀试验过程外观记录图(见图8),发现幅值下降阶段是钢筋锈蚀刚开始阶段,随着锈蚀进行到一定程度,钢筋表面锈蚀物增加并达到一定厚度而将钢筋包裹住,激励信号在钢筋内传播的过程中,能量会向周围锈蚀层泄漏,所以幅值处于下降状态。当锈蚀试验进行到约72 h时,幅值下降到最低点,锈蚀物厚度达到最厚并且开始有破开的迹象。随后锈蚀层破开并逐渐脱落于NaCl溶液中,钢筋表面锈蚀物厚度变薄,接收信号幅值开始上升。可知,在固定频率下,固定模态导波在裸钢筋中的传播速度随着钢筋直径变化而变化。
由锈蚀前的时域图(见图9)可以清晰地看到三个接收信号的波包,其中第一个波包接收时间与发射信号的时间差值为84.27 μs,经过计算,第一个波包的传播速度为4 153 (m·s-1),符合直径12 mm钢筋频散曲线中L(0,1)模态理论速度[为4 101 (m/·s-1)],证明试验显著激发了L(0,1)模态;第二个波包从发射到接收的耗时与F(1,1)模态理论速度一致;第三个波包耗时为第一个波包的3倍左右,为第一个波包在钢筋末端的反射。
由锈蚀结束后的时域图(见图10)中可以看到存在两个波包,第一个波包耗时为64.81 μs,计算出导波传播速度为5 400 m·s-1,略高于6 mm直径内的钢筋理论传播速度;第二个波包波形发生改变,为F(1,1)模态的波包与第一个波包到钢筋末端的反射波叠加形成。锈蚀试验结束后钢筋最小直径由12 mm损耗到5 mm,中端部分最大直径为9 mm,其在180 kHz下导波传播的理论速度值为3 809~5 026 m·s-1,锈蚀结束后计算出的传播速度基本符合频散曲线。
3.2 混凝土包裹后的钢筋锈蚀试验
由于钢筋混凝土结构在自然状态下的锈蚀十分缓慢,笔者利用电化学方法对试块加速锈蚀。对整个锈蚀过程进行超声导波监测,分析损伤状态和健康状态的信号变化来判断钢筋锈蚀情况。
首先对健康试件进行信号激励并储存数据。将钢筋混凝土试件放入质量百分比浓度为5%的NaCl溶液中浸泡48 h,保证钢筋处于饱水状态下,以使混凝土内部钢筋锈蚀更加均匀。随后将信号发生器、示波器、钢筋三者相连。再将钢筋一端的铜线连接直流电源的正极,溶液中的铜线连接负极,连通电路,锈蚀试验开始,试验布置如图11所示。
110kHz频率下锈蚀过程中记录的各时刻信号幅值曲线如图12所示,可以看出随着锈蚀时间增加,接收信号幅值的变化趋势是先缓慢减小,后急速上升,最后又缓慢减小。在锈蚀前,接收信号幅值为19.83 mV;在锈蚀时间达到117 h的时候,接收信号幅值达到最低点(2.01 mV);随后幅值急剧上升,在198 h达到最高点(154.39 mV)。
在导波时域图中,锈蚀前存在两个较为明显的波包(见图13),其中第一个波包接收信号时间与发射信号时间的差值为106.7 μs,计算得出其传播速度为3 280 m·s-1,由于传播距离较近,该波包中存在不同模态混叠现象,不是某一单一模态,为L(0,1)模态与F(1,1)模态相重合形成;第二个波包衰减非常大,几乎接收不到信号,此时没有接收到钢筋低端回波反射的信号。
锈蚀结束后的时域图如图14所示,可以看到比较明显的三个波包,且信号幅值远大于锈蚀之前接收到的信号幅值,其中第一个波包接收信号时间与发射信号时间差值为81.14 μs,计算出导波传播速度为4 314 m·s-1,其为L(0,1)模态;第二个波包波形变化较大,明显存在波包混叠现象,其为F(1,1)与F(1,2)模态波包重叠形成;第三个波包耗时为第一个波包的三倍,其为第一个波包在钢筋底端回波反射,此时能接收到钢筋底端回波反射的信号,说明锈蚀结束后钢筋混凝土试块内导波传播与裸钢筋中导波传播的特性相似。
与裸钢筋锈蚀试验相比,超声导波在钢筋与混凝土复合结构中的传播受到混凝土厚度的影响,包裹混凝土后接收信号幅值比裸钢筋时的显著衰减,表明导波能量大部分被混凝土吸收。
锈蚀试验过程中所有采集时刻接收信号耗时与锈蚀时间的关系曲线如图15所示,可见锈蚀开始前,接收信号耗时为106.7 μs,在试验进行到117 h时增大到113.18 μs;117 h后,接收信号耗时开始减小,在第195 h减小到80.43 μs;随后保持平缓,最终237 h试验结束时为81.14 μs。结合钢筋混凝土锈蚀过程的三个阶段,发现接收信号耗时的变化也基本符合三个阶段的划分:①1~7天,钢筋产生的锈蚀产物达到一定厚度,钢筋与混凝土界面之间的黏结力增大,导致导波在钢筋内的传播速度减小,接收信号耗时增加;②8~9天,锈胀力达到最大导致了裂缝的产生,从而降低了周围混凝土对锈蚀产物的限制能力,钢筋与混凝土界面的黏结强度降低,对导波传播速度的影响变小,因此传播速度增大,接收信号耗时减小到最低点;③第10天,混凝土内裂缝贯通,最终导波钢筋与混凝土界面脱落,此时导波传播速度趋于稳定,与裸钢筋中导波传播特性相似。
综上可见,混凝土试块从开始锈蚀到结束可以分为钢筋锈蚀堆积、锈蚀产生裂缝、钢筋脱落3个阶段,整个过程中接收信号的幅值、耗时均发生相应变化,可以用于锈蚀损伤识别,故超声导波的声速可以作为有效监测指标来判断裸钢筋锈蚀的程度。
4. 结论
文章针对U型钢筋,提出了一种基于超声导波技术的损伤识别监测方法,设计出的U型钢筋表面黏贴式结构,能够有效防止环境干扰。在锈蚀监测过程中接收信号的幅值、耗时均发生明显变化,能够准确对应钢筋锈蚀的不同阶段,实现对钢筋混凝土结构中弯曲钢筋的锈蚀监测评价。该方法可有效应用于实际工程,对保障钢筋混凝土结构的安全性具有重要意义。
文章来源——材料与测试网



















浙公网安备 33042402000106号 a>

