分享:合金在高低载荷比下裂纹扩展过程中的裂尖塑性变形行为
0. 引言
裂纹扩展过程中的裂纹尖端(简称裂尖)塑性变形一直是断裂力学领域的研究热点。对于工程中的大多数弹塑性材料,裂尖应力集中产生的塑性变形为疲劳裂纹扩展提供驱动力[1]。材料的力学性能和所处的应力状态决定了裂尖塑性区的尺寸,而塑性区的尺寸会影响疲劳裂纹的扩展速率[2-3]。目前,关于裂尖塑性区尺寸的理论模型主要包括Irwin、Dugdale等模型,这些模型对于塑性区尺寸的评估受限于小屈服条件或无限宽板的裂纹[4-5]。
数字图像相关(DIC)技术作为一种操作简单、非接触式的光学位移、应变场测试方法,已被应用于疲劳裂纹尖端变形场的检测中[6-7]。研究人员利用DIC技术对裂尖的应变场、塑性区尺寸、J积分、应力强度因子、裂纹尖端张开位移等影响裂纹扩展行为的参量进行了大量研究[8-13]。研究[14-15]表明,载荷比对裂纹扩展行为具有较大影响。但是,目前有关高低载荷比(载荷比不低于0.7为高载荷比,载荷比低于0.5为低载荷比)下疲劳裂纹扩展过程中裂尖塑性变形行为的研究较少,特别是应用DIC技术实时监测裂尖塑性变形演变的研究更少。基于此,作者以TC4ELI合金为研究对象,利用DIC技术分析高低载荷比下裂尖的单调和循环塑性变形以及单调塑性区与循环塑性区对裂纹扩展的作用。研究结果有助于高低载荷比条件下考虑塑性变形的疲劳裂纹扩展速率的预测,对于延长结构的使用寿命具有参考意义。
1. 试样制备与试验方法
试验材料为TC4ELI合金,化学成分(质量分数/%)为5.9Al,3.75V,0.03Fe,<0.01C,0.01N,0.003H,0.09O,余Ti,显微组织如图1(a)所示,为α+β双相组织;由单轴拉伸试验和低周疲劳试验测得合金的弹性模量为121 GPa,屈服强度为890 MPa,应变硬化指数为0.064 4,强度系数为1 207.10,循环屈服强度为729 MPa,循环应变硬化指数为0.103 6,循环强度系数为1 445.24 MPa。通过线切割加工并打磨、抛光出如图1(b)所示的标准紧凑拉伸(CT)试样,试样厚度B为5 mm,宽度W为25 mm,a为裂纹总长度(缺口长度与裂纹扩展长度之和)。
采用由控制系统、ZDZ-20型疲劳试验机、分析系统、显微观察系统组成的试验平台进行疲劳裂纹扩展试验。在试验前利用氧化钴乙醇混合液制作散斑,通过0.3 mm口径喷枪将混合液喷在试样表面,获得均匀随机散斑图案。在疲劳裂纹扩展试验过程中载荷波形为正弦波,载荷幅Fa恒定为0.63 kN,最大载荷Fmax分别为4.2,1.4 kN,载荷比R分别为0.7,0.1,试样断裂失效后停止加载。加载前手动采集5张未变形图片作为DIC分析的参考图像。在加载过程中利用DIC原位追踪测量裂尖变形场,利用显微镜观察裂纹扩展长度。记录裂纹长度时加载系统的频率由10 Hz降为0.01 Hz,同时触发Vic-Snap采集每个循环周期的变形图片作为DIC分析的目标图像。在裂纹扩展方向上取A1,A2,A3,A4,A5 5个点(A1点距裂纹尖端小于0.01 mm,其他相邻两点之间的距离为0.5 mm)研究裂尖附近循环应变随循环加载的演变;在裂纹尖端沿裂纹扩展方向取路径L研究裂纹尖端的应变梯度演变。参考文献[4],通过DIC获得的等效应变和等效应变范围计算单调塑性区和循环塑性区尺寸,涉及的计算公式如下:
| (1) |
| (2) |
| (3) |
式中:Δεeq为等效应变范围;εmax-eq为最大载荷处的等效应变;εmin-eq为最小载荷处的等效应变;ε为应变;εe为弹性应变;εp为塑性应变;σ为应力;E为弹性模量;H为强度系数;n为应变硬化指数;Δε为循环应变范围;Δσ为循环应力范围;H'为循环强度系数;n'为循环应变硬化指数。
将试验得到的屈服强度代入式(2)计算出的应变即为屈服应变,等效应变不小于屈服应变的区域即为单调塑性区。将循环屈服强度代入式(3)计算出的应变范围即为屈服应变范围,等效应变范围不小于循环屈服应变的区域即为循环塑性区。
2. 结果与讨论
2.1 裂尖局部塑性变形
图2中εeq,εr-eq,εa-eq分别为等效应变、棘轮应变(最大载荷和最小载荷处的等效应变差值的1/2)和等效应变幅(等效应变范围的1/2)。由图2可以看出,距离裂尖较近的A1,A2两点处在0.7高载荷比下的等效应变较0.1低载荷比高,距离裂尖较远的A3,A4,A5三点处在2种载荷比下的等效应变几乎相同,这表明载荷比对裂尖附近的应变影响较大,对远离裂尖区域的应变影响较小。当载荷幅相同时,高载荷比的平均载荷较大,因此裂尖附近的应变也更高。高载荷比下的棘轮应变大于低载荷比下,而低载荷比下的等效应变幅大于高载荷比下,这进一步说明在相同的裂纹长度时高载荷比下的单调塑性变形程度更大,应变累积更快,而低载荷比下的循环塑性变形更明显。可以推测,在高载荷比下,应力水平较高,单调损伤(静态损伤)对裂纹扩展贡献更大,而在低载荷比下,循环损伤对裂纹扩展的贡献更大,与文献[14]中的结论一致。
通过裂尖附近某点应变环的形状可推测该点在裂纹扩展过程中的塑性变形状态[16]。图3中F为载荷,Fmax为最大载荷。由图3可知,在高低载荷比下,A1点处于循环塑性区内,A2点处于单调塑性区内,A3,A4,A5点均处于弹性区。各点在高载荷比和低载荷比下所处塑性区域相同,但是塑性变形程度不同。低载荷比下A1点的应变环所包围的面积更大,说明此时的循环塑性变形程度更高[10]。
应变云图可以定性反映裂尖附近的弹塑性变形程度。由图4可以看出,高载荷比下的高应变区域面积较大,呈蝴蝶形状,低载荷比下的高应变区域面积相对较小。另外,由于高载荷比下的应力水平较高,试样的整体应变水平也更高。由图5可以看出,在卸载过程中2种载荷比下试样的高应变区域面积相差较小。
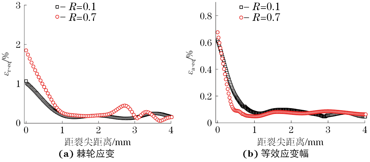
由图6可以看出,高载荷比下试样的棘轮应变和等效应变幅梯度均比低载荷比下大,表明高载荷比下裂尖的应变更集中。与低载荷比下相比,高载荷比下裂尖附近的棘轮应变更大,表明高载荷比下裂尖附近的单调塑性变形程度更大。高载荷比下仅裂尖处极小范围的等效应变幅比低载荷比下大,而对于裂尖附近的大部分区域,低载荷比下的等效应变幅大于高载荷比下,表明高载荷比下裂尖附近的循环塑性变形程度较小,与前文裂尖附近应变随循环载荷的演变结果一致。
2.2 塑性区尺寸
由图7和图8可以看出:随着循环次数的增加,即裂纹的扩展,2种载荷比下裂尖的塑性区逐渐变为蝴蝶形状,与大多数文献中的形状相吻合[8,16];随着裂纹的扩展,高低载荷比下的塑性区尺寸和形状存在很大区别。将由DIC方法得到的裂尖塑性区面积等效为当量圆的面积,换算得到当量圆的直径,以此作为与塑性区面积等效的塑性区尺寸[17]。
理想线弹性断裂力学最为经典的塑性区尺寸理论模型为Irwin模型[18],该模型如下:
| (4) |
| (5) |
式中:rpm为单调塑性区尺寸;rpc为循环塑性区尺寸;Kmax,ΔK分别为最大应力强度因子和应力强度因子幅;σys为屈服强度;σcys为循环屈服强度。
Irwin模型主要研究裂纹延长线上的塑性区,并未考虑塑性区形状带来的影响[18],也未考虑高低载荷比的影响,得到的塑性区尺寸相对偏保守。将由DIC方法得到的裂尖单调塑性区、循环塑性区尺寸随裂纹长度a的变化与采用Irwin模型计算得到的结果进行对比。由图9可以看出,DIC方法得到的2种塑性区尺寸明显高于Irwin模型计算的结果。2种载荷比下的塑性区尺寸均随着裂纹长度的增加而增大,在相同裂纹长度下,高载荷比下的单调塑性区尺寸更大。由Irwin模型计算得到的不同载荷比下循环塑性区尺寸随裂纹长度的变化基本重合,这是由于Irwin模型未考虑载荷比效应的影响,在相同载荷幅下,所得循环塑性区尺寸不受载荷比影响。由DIC方法得到,低载荷比下的循环塑性区尺寸随裂纹扩展增长更快,与高载荷比下的循环塑性区尺寸差距增大,该结果与前文裂尖附近低载荷比下应变幅更大的结论相吻合,说明材料在低载荷比下的循环软化效果相比高载荷比下更显著。
参考文献[4]计算Kmax和ΔK,得到不同载荷比下单调塑性区尺寸随最大应力强度因子的变化关系以及循环塑性区尺寸随应力强度因子幅的变化关系。由图10可以看出,单调塑性区尺寸与最大应力强度因子以及循环塑性区尺寸与应力强度因子幅之间均呈幂函数关系,关系式如下:
| (6) |
| (7) |
式中:fm,fc分别为与σys,σcys相关的系数;km,kc为与载荷比相关的指数。
Irwin模型未考虑载荷比的影响,因此不同载荷比下的指数km,kc均为2.000 0。DIC方法得到的km和kc不相等,受载荷比的影响:当载荷比为0.1时,km,kc分别为1.838 8,1.877 8,当载荷比为0.7时,km,kc分别为2.189 2,0.964 9。低载荷比下km小于kc,而高载荷比下km大于kc,表明低载荷比下裂尖循环塑性变形对裂纹扩展影响更大,而高载荷比下裂尖单调塑性变形对裂纹扩展的影响更显著。
由图11可以看出:Irwin模型得到的rpc/rpm不随裂纹长度a和裂纹扩展速率(da/dN,N为循环次数)的变化而变化,而DIC方法得到的rpc/rpm随裂纹长度或裂纹扩展速率的增加而减小;高载荷比下的rpc/rpm更小,随裂纹长度或裂纹扩展速率增加而降低的梯度更大。可知,随着裂纹长度的增加,循环塑性变形对裂纹扩展的主导作用减弱,单调塑性变形逐渐对裂纹扩展起主导作用,且载荷比越高,单调塑性变形的主导作用增加越快。
3. 结论
(1)0.7高载荷比下试样的棘轮应变和裂尖单调塑性变形程度更大,应变累积更快;0.1低载荷比下的等效应变幅更大,循环塑性变形更明显。高载荷比下的棘轮应变与等效应变幅梯度均比低载荷比下大,裂尖的应变更集中。
(2)裂尖单调塑性区尺寸与最大应力强度因子以及循环塑性区尺寸与应力强度因子幅之间均呈幂函数关系。高载荷比下单调塑性区尺寸与最大应力强度因子间的幂指数较大,此时单调塑性变形对裂纹扩展影响更大,而低载荷比下循环塑性区尺寸与应力强度因子幅间的幂指数较大,此时循环塑性变形对裂纹扩展的影响更大。
(3)循环塑性区和单调塑性区尺寸比随裂纹长度或裂纹扩展速率的增加而减小;高载荷比下的循环塑性区和单调塑性区尺寸比更小,随裂纹长度或裂纹扩展速率增加而降低的梯度更大。随裂纹长度增加,循环塑性变形对裂纹扩展的作用减弱,单调塑性变形对裂纹扩展的作用增加,且载荷比越高,单调塑性变形的主导作用增加越快。
文章来源——材料与测试网















浙公网安备 33042402000106号 a>

